integral sorusu

28 views
Skip to first unread message

izve

unread,
Dec 26, 2014, 4:47:09 AM12/26/14
to tm...@googlegroups.com


erdal karaburun (Öğretmen)

unread,
Dec 26, 2014, 5:41:48 AM12/26/14
to TMOZ


26 Aralık 2014 11:47 tarihinde izve <fevzi...@gmail.com> yazdı:


--
http://www.facebook.com/groups/358210690921074/
 
Matematik geometri bilgi paylaşım platformu.
---
Bu iletiyi Google Grupları'ndaki "TMOZ" grubuna abone olduğunuz için aldınız.
Bu grubun aboneliğinden çıkmak ve bu gruptan artık e-posta almamak için tmoz+uns...@googlegroups.com adresine e-posta gönderin.
Bu gruba yayın göndermek için, tm...@googlegroups.com adresine e-posta gönderin.
Bu grubu http://groups.google.com/group/tmoz adresinde ziyaret edebilirsiniz.
Bu tartışmayı web'de görüntülemek için https://groups.google.com/d/msgid/tmoz/d33c3366-2be6-4918-a95f-d693f93ad95a%40googlegroups.com adresini ziyaret edin.
Daha fazla seçenek için https://groups.google.com/d/optout adresini ziyaret edin.



--
Milli varlığımızın temelini;milli şuurda ve milli birlikte görmekteyiz.
Mustafa Kemal ATATÜRK


integral4.JPG

Muharrem Şahin

unread,
Dec 26, 2014, 5:42:42 AM12/26/14
to tm...@googlegroups.com
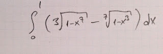
Parantez içindeki iki terime karşılık gelen fonksiyonlar
birbirinin tersidir.
(Birine t deyince gördüm.)
Eğriler (1,0), (0,1) ve
y = x üzerinde (0,1) aralığında bir (a,a) noktasında kesişirler.
(0,a) aralığındaki integral ile
(a,1) aralığındaki integral birbirinin ters işaretlisi olur.
(Eğriler y = x doğrusuna göre simetrik olduğundan.)

İstenen integral sıfırdır.

26 Aralık 2014 11:47 tarihinde izve <fevzi...@gmail.com> yazdı:


--
http://www.facebook.com/groups/358210690921074/
 
Matematik geometri bilgi paylaşım platformu.
---
Bu iletiyi Google Grupları'ndaki "TMOZ" grubuna abone olduğunuz için aldınız.
Bu grubun aboneliğinden çıkmak ve bu gruptan artık e-posta almamak için tmoz+uns...@googlegroups.com adresine e-posta gönderin.
Bu gruba yayın göndermek için, tm...@googlegroups.com adresine e-posta gönderin.
Bu grubu http://groups.google.com/group/tmoz adresinde ziyaret edebilirsiniz.
Bu tartışmayı web'de görüntülemek için https://groups.google.com/d/msgid/tmoz/d33c3366-2be6-4918-a95f-d693f93ad95a%40googlegroups.com adresini ziyaret edin.
Daha fazla seçenek için https://groups.google.com/d/optout adresini ziyaret edin.



--
.

Temel Gökçe

unread,
Dec 26, 2014, 5:52:18 AM12/26/14
to tmoz

Bu da cebirsel karşılığı yazmışken gondereyim...

Screenshots_2014-12-26-12-50-32.png

Muharrem Şahin

unread,
Dec 26, 2014, 5:56:03 AM12/26/14
to tm...@googlegroups.com
Eline, zihnine sağlık Temelciğim.

26 Aralık 2014 12:51 tarihinde Temel Gökçe <temel...@gmail.com> yazdı:

Bu da cebirsel karşılığı yazmışken gondereyim...

--
http://www.facebook.com/groups/358210690921074/
 
Matematik geometri bilgi paylaşım platformu.
---
Bu iletiyi Google Grupları'ndaki "TMOZ" grubuna abone olduğunuz için aldınız.
Bu grubun aboneliğinden çıkmak ve bu gruptan artık e-posta almamak için tmoz+uns...@googlegroups.com adresine e-posta gönderin.
Bu gruba yayın göndermek için, tm...@googlegroups.com adresine e-posta gönderin.
Bu grubu http://groups.google.com/group/tmoz adresinde ziyaret edebilirsiniz.

Daha fazla seçenek için https://groups.google.com/d/optout adresini ziyaret edin.



--
.

Temel Gökçe

unread,
Dec 26, 2014, 6:00:03 AM12/26/14
to tmoz

Sagolun Muharrem Hocam.
Geometrik yorum cok daha kolay sonucu görmeyi sağlıyor.  Sizinde akliniza sağlık, sevgiler...

.

unread,
Dec 26, 2014, 6:53:21 AM12/26/14
to tm...@googlegroups.com
Ben olmadan olmaz :) temelim ifadesi olsun selamlar olsun bu diyardan taaaa oteki diyardaki dostlara

Delireis

Kimden: Temel Gökçe
Gönderme tarihi: ‎26.‎12.‎2014 12:59
Kime: tmoz
Konu: Re: [TMOZ:834405] integral sorusu

Sagolun Muharrem Hocam.
Geometrik yorum cok daha kolay sonucu görmeyi sağlıyor.  Sizinde akliniza sağlık, sevgiler...

--
http://www.facebook.com/groups/358210690921074/
 
Matematik geometri bilgi paylaşım platformu.
---
Bu iletiyi Google Grupları'ndaki "TMOZ" grubuna abone olduğunuz için aldınız.
Bu grubun aboneliğinden çıkmak ve bu gruptan artık e-posta almamak için tmoz+uns...@googlegroups.com adresine e-posta gönderin.
Bu gruba yayın göndermek için, tm...@googlegroups.com adresine e-posta gönderin.
Bu grubu http://groups.google.com/group/tmoz adresinde ziyaret edebilirsiniz.
WP_20141226_001.jpg

Temel Gökçe

unread,
Dec 26, 2014, 7:46:43 AM12/26/14
to tmoz

Selamlar Fatihcigim dünkü çözümünün tadina doyamadim hala, sevgiler...

izve

unread,
Dec 26, 2014, 8:45:18 AM12/26/14
to tm...@googlegroups.com
Teşekkürler hocalarım

Muharrem Şahin

unread,
Dec 26, 2014, 11:06:41 AM12/26/14
to tm...@googlegroups.com
Tam açıklayamadım sanıyorum:

İntegral içindeki fonksiyon
(0,1), (a,a), (1,0) noktalarından geçen bir kelebek biçimindedir.

[0, a] aralığındaki kısmın alanı ile
[a,1] aralığındaki kısmın alanı birbirine eşittir.

İntegral işleminde 
eğriler yer değiştireceğinden
biri "+"
biri "-" gelir.

Toplam sıfır olur.

Sevgiler, selamlar.
    

26 Aralık 2014 15:45 tarihinde izve <fevzi...@gmail.com> yazdı:
Teşekkürler hocalarım


--
http://www.facebook.com/groups/358210690921074/

Matematik geometri bilgi paylaşım platformu.
---
Bu e-postayı Google Grupları'ndaki "TMOZ" adlı gruba abone olduğunuz için aldınız.

Bu grubun aboneliğinden çıkmak ve bu gruptan artık e-posta almamak için tmoz+uns...@googlegroups.com adresine e-posta gönderin.
Bu gruba kayıt göndermek için tm...@googlegroups.com adresine e-posta gönderin.

Bu grubu http://groups.google.com/group/tmoz adresinde ziyaret edebilirsiniz.
Bu tartışmayı web'de görüntülemek için https://groups.google.com/d/msgid/tmoz/b6163c44-f47a-439a-a8e0-7126081038a5%40googlegroups.com adresini ziyaret edin.
Daha fazla seçenek için, https://groups.google.com/d/optout adresiniz ziyaret edin.



--
.
Reply all
Reply to author
Forward
0 new messages