When students are not directly fed the text-book methods - A.P. - Part-1

2 views
Skip to first unread message

Rupesh Gesota

unread,
Jun 10, 2018, 4:56:48 AM6/10/18
to Rupesh Gesota
I have been Playing Maths with a bunch of marathi-medium municipal school students after their school-hours.

As I can now see them approach and solve quite challenging (out of the text-book) problems comfortably, I decided, for a change, to now pick up their text-book for a while and see what unfolds...Of course, I cannot make them solve the problems from the school text-books of their age (they have surpassed it long back). So I  directly picked up their SSC (grade-10) Algebra text-book. (They have just cleared their grade-7 and grade-8 exams) The first chapter was about Sequence (AP, GP). I was aware that this would be a cakewalk for them. So I just rushed through the terminologies and asked them to derive the formula for Nth term of Arithmetic Progression (AP)

(For those who are unaware or have forgotten what AP is --- let me give you couple of example, instead of its definition :)
i) 2, 5, 8, 11, 14, ......  
ii) 3, -7, -17, -27, ....
iii) 5, 10, 12, 17, 19, ....
iv) 2, 20, 200, 2000, .....

Only (i) and (ii) are APs while (iii) and (iv) are not APs.. (common difference (d) = 3 in the 1st case and d = -10 in the 2nd case)   

So what I asked them was to make a formula for nth term of AP i.e. in a given AP, if you wish to 'quickly' find the 200th term, 5369th term, etc without listing down all the middle terms, then one can do this using its formula. 

They didn't take more than half a minute derive the required result. It was correct. 
Tn = T1 + (n-1)d) 

So now I immediately asked them to derive the formula for Sum of first nth terms of AP (Sn)

The book was in my hand and hence I saw its method. I was wondering if this method will click to them or will they do something else, but I was very sure they will crack it. And in almost a minute all hands were up. 

No wonder, they had used a different method.... But the main thing to wonder was they all had used the same method :-)

I forgot to take the snap of their work. So I am typing down what they did:

Sn =  T1  + T2 + T3 +T4 + ...
     =  T1  + (T1 + d) + (T1 + 2d) + (T1 + 3d) +....
     =  nT1 + d + 2d + 3d + ....
     =  nT1 + d (1 + 2 + 3 +....)  
     =  nT1 + d (n-1) n / 2 
     =  n [ T1 + d(n-1)/2 ]

If you observe they have used the formula for sum of first few (n-1) natural numbers for deriving an expression for Sn.

However the text book derivation does not use this method and formula (in fact the formula for sum of first n natural no.s is derived later in the book using the formula for Sn).. And that's also fine.

So I first appreciated them for their accuracy but then challenged them to get the expression for Sn without using the formula for sum of first few natural numbers. I asked them - what if you didn't know the formula that you have used in this derivation?

To this, one of them replied  - "Sir, we would have derived it the way we had done it long back.."

"Hmm... And how had you done that?"

"By pairing up.... First and last numbers.... second and second-last... and so on...."

"Yes, so why don't use the same idea here too?"

They looked at me puzzled...

So after a minute, I just showed them the method given in their text book.


They studied it and they responded like -- "Sir, isn't this the same pairing method?''  :-)

Then, I gave them some text-book problems just for practice (were they 'problems'? :-) Luckily, the last one among them was a little better.

problem: 4 terms are in AP. Product of 1st and 4th terms is 45. Sum of 2nd and 3rd terms is 18. Find the terms. 

I would suggest you to (try to) solve this problem before reading further... 

....
....
....
....
....

Yes -- because the text-book was again in my hand, I saw the method. However, let me also confess that I would have used the same method because this is what was directly taught to me till drill and kill. 

Thankfully, I recovered from being an instructor and don't do this damage anymore :)
And you know what?  This not only saves my effort but also helps me learn interesting methods from them :-))

Method-1: By Jitu
 


He argued that since 3 x d x t1 and 45 are multiples of 3, hence (t1)^2 should also be multiple of 3. Hence it can take only two values: 9 and 36 to get the required sum 45. Substituting (t1)^2 as 36 does not satisfy the equation and substituting as 9 does satisfy. He solved further to arrive at the required AP.

He was the first to complete the problem. To engage him, I gave him another similar problem, but of 3 consecutive numbers. (sum of 3 no.s. is 27 & their product is 504) and he was quick to solve this one too:


 Method-2 - By Sahil (original 4 numbers problem)
 
He too argued similarly about the addition equation. Since '2a' and '3d' sum up to an Even number, and '2a' is already Even, so '3d' too should be Even. Hence 'd' should be Even. (did you understand this? :-)

So then he found the possible values for d. He also said that 'd' cannot be 0 since that would make all terms equal, which is in turn not possible 45 (given as product of two terms) is not a perfect square !  He also said that 'd' cannot be '6' because that would make a=0 leading to the product of 1st and 4th terms as 0, thus contradicting the given information.

He then found the corresponding 2 values for a, substituted each pair in the equation. 
(a,d) = (6,2) didn't satisfy but (3,4) did satisfy. He then got the required sequence.


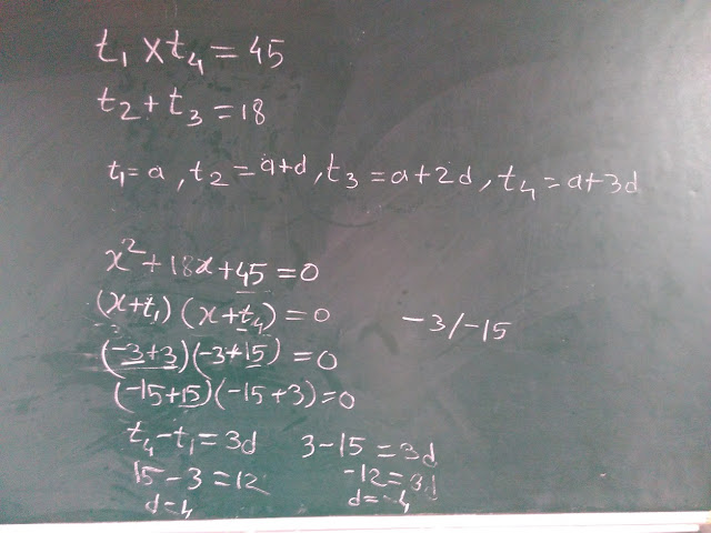
Method-3 - by Kanchan

 
She first told me that Sum of 2nd & 3th terms would be same as the Sum of 1st and 4th terms. 


When I asked her why, she said - its obvious. :)  1st term is less than 2nd term by the same amount as the 4th term is more than 3rd term.

Did you get this?   :-) :-)

I was happy she could visualize this relation, however I challenged her to prove it while she was writing on the board, and if you notice, she has done it partially.

What drove me crazy was her next move.She went into Quadratic Equation. 
"we know the sum of two numbers, we know the product of same two numbers.. So we can make an equation, and find its roots.."  

Hope you will take some time to study her solution.
 
(let me mention that quadratic equation is formally taught in 10th, that too in a dry way... she has not only used quadratics while in 8th but has also applied that knowledge in another topic altogether!)

And her method, gave us both the possible sequences - 3,7,11,15   and  15,11,7,3 which was not the case with other methods.

Finally, I asked them if they wanted to know how its solved in the text-book. And they all were curious to know :-)

So I simply copy pasted this method on the board, leaving for them to analyze and understand.... And they could easily do so.... 



I waited for them to study this approach. And then -
 
"So if I give you another problem -- but this time of 3 consecutive numbers in AP, then how will you solve it?"

"We will then take those terms as  a-d, a, a+d"

"Oh ! you will use this text-book method?" 

"Yes sir, this is an interesting and even an efficient one!" 

I could see them smiling.

"So I should have directly showed this method to you, isn't it?"

"No.... then how would we think & discover our own methods?", Vaishnavi reacted. :-)

                                                                                                                 ..... (Part-2 soon)

If you find this story valuable to be shared with other teachers and parents, then plz feel free to do so :)

Also, I would love to know your views about this post on the Comments section of this blog. Here is the link:


Thanks and Regards

Rupesh Gesota   Maths Educator, Program MENTOR
Mobile: +91 9594 02 03 04
Email: rupesh...@gmail.com
Website: www.supportmentor.weebly.com
Blog: www.rupeshgesota.blogspot.com
photo
 
Get a signature like this: Click here!
Reply all
Reply to author
Forward
0 new messages